当前位置: >首页 >测绘智库 >智库观点
武汉大学测绘学院闫利教授:面向未知环境的自主无人机智能感知测量技术
发布时间:2024-08-22     来源:测绘学报     浏览:3704次

随着社会数字化、智能化转型等时代浪潮的不断推进,传统的数字化测绘技术逐渐难以满足新时期的测绘需求。如何从数字化走向智能化,实现测绘科技的转型和升级,成为测绘领域当前关注的热点问题以及追求的技术目标[1-3]。在这一背景下,包含背包移动测量、车载移动测量及无人机移动测量技术在内的多种移动测量技术的快速发展,为推进智能化测绘提供了有力的技术支撑。尤其是无人机移动测量,由于无人机在场景感知测量方面具备的灵活度高、适应能力强等特点,在测绘领域得到了广泛的应用[4]。然而,目前无人机移动测量仍然处于人为控制或者预先编程控制阶段,缺乏对事先未知、GNSS拒止等特殊复杂测量环境的智能感知能力[5]。综合分析无人机、自主定位导航、智能摄影测量、传感器及人工智能等技术的发展,自主无人机感知测量系统将是新一代无人机测量系统发展方向,未知环境下的智能性和自主性测量是其最重要的两个特征。因此,如何实现无人机在未知复杂区域内进行高效且高质量的全自主测量,成为场景智能化感知测量中所需要解决的关键问题。


目前,针对自主无人机智能感知测量的研究主要集中在自主在线定位和自主空间探测两个方面。在自主定位算法方面,由于相机具有重量轻、体积小、成本低等优点,视觉SLAM(simultaneous localization and mapping)算法成为目前主流的无人机自主定位算法[6-9]。文献[10—12]通过VINS算法[13]解决无人机的自主定位问题。文献[14—15]基于ORB SLAM算法[16-17]实现无人机的自主定位,此外还有S-MSCKF[18]、OpenVSLAM[19]、ROVIO[20]、Kimera[21]等算法广泛应用于无人机系统中。但这些算法主要依赖图像中的点特征,当无人机位于低纹理环境中时,图像中稳定准确的点特征数量难以得到保证。因此,这些算法的定位精度不可避免地会出现下降。针对这一问题,文献[22]采用PL-SLAM算法[23],通过引入图像中的直线信息来提高视觉SLAM算法的定位精度和稳定性,与之类似的算法还有PL-SVO[24]和DPLVO[25]等。但是上述算法只是将线特征作为点特征的补充,并未充分利用线特征中包含的环境结构信息。在自主空间探索测量方面[26],文献[27]首先将NBV(next best view)的概念融入空间探测过程中,通过视点采样及最佳视点选取,实现了无人机对于未知环境的自主探测功能。但是该方法面临着探测效率低下及探测速度慢等缺点。文献[28—34]通过优化探索策略及采样视点维护方式,一定程度上提高了探测覆盖率及规划速度,但是全局探测效率依然较低。相较于以上基于视点采样的方法,文献[35—37]采用了基于边界的空间探测算法,基于维护的探测边界通过启发式函数实时地确定局部探测目标,最终实现对目标区域的高覆盖式探测。这类方法的规划效率更高,能够基于实时的运动状态及探测情况高频地进行探测路线规划。但是该方法依然面临着大量往返探测行为的影响。

针对前述问题,为进一步提升未知场景智能感知测量的稳定性与作业效率,本文重点围绕复杂场景的在线定位和场景特征驱动下高效探测规划两部分开展研究,并在自主无人机硬件平台设计基础上,提出了一种面向未知场景的自主无人机智能感知测量技术框架。

自主无人机智能感知测量技术框架与研究策略

高质量的时空信息是支撑高层次时空数据分析及高水平时空知识服务的基本前提,也是“数智”新时代下国家高质量发展的重要保障条件。但因遮挡效应、无GNSS信号等因素的限制,现有人机交互和半自动化等感知手段在林下区域、地下空间等复杂场景中,往往难以获取全覆盖、高时效、多维度的高质量时空信息,无法实现场景特征驱动下的智能感知测量。通过分析,实现场景的自主感知测量关键在于解决复杂环境中的多源融合在线稳健定位问题,并在场景实时观测测量的基础上,以场景要素的空间分布特征感知知识为引导,结合可靠路径规划与高效空间探测算法来实现全覆盖的高动态感知测量。本文以多传感器集成无人机为硬件平台,设计的面向未知环境自主测量的智能感知测量技术与框架如图1所示。

图1   自主无人机智能感知测量技术与框架

在具体的研究策略中,本文首先针对在自然空间和社会空间中广泛分布的线特征,在自主定位部分引入IMU信息对传感器实时获取图像中的线特征进行提取,然后根据灭点理论将特征线分为结构线和非结构线两类,并设计相应的特征匹配方法对结构线特征进行匹配,最后基于因子图优化无人机位姿,进而达到提高无人机自主定位的精度与稳定性目的;其次,在自主空间探测算法部分,结合高精度实时位姿和传感器在线场景感知空间特征,快速构建已知空间与未知空间的边界,并通过将边界层面与飞行层面的代价消耗进行融合求解更加合理的全局探测路径,然后利用局部运动轨迹搜索与优化智能生成无人机局部最优的探测运动轨迹并反馈至无人机实现自主飞行测量。在以上两个模块为核心的自主测量框架支撑下,最终实现无人机对目标区域安全、高效且高覆盖的全自主感知测量。

无人机自主在线定位

自主在线定位是实现无人机全自主测量的核心,也是前提。当前GNSS拒止环境下的测量任务需求愈加庞大,依靠外部定位协助的测量框架不仅难以满足现实需求,也达不到全自主测量的目的。为了提高无人机在局部复杂环境的定位稳健性,本文设计的自主测量框架采用了一种利用点线特征的无人机自主定位算法。该算法在仅依赖视觉传感器和IMU信息实现无人机实时自主定位的基础上,通过点线特征融合提高无人机在自主移动过程中的在线定位精度和稳定性。该算法的总体框架如图2所示,可以主要分为前端和后端两个部分。前端部分负责对传感器获取的数据进行预处理,对于IMU获取的加速度和角速度信息进行预积分以生成无人机的位姿初始值,然后构建IMU残差项,并将其输入后端联合优化因子图中;对于相机获取的图像信息,则从中分别提取点特征和线特征,进行特征追踪,并构建点特征和线特征残差项。后端部分则负责通过因子图结构,对前端构建的各类残差项进行优化,输出无人机位姿的最终估计结果。由于无人机搭载的计算平台算力有限,因此,为了限制后端因子图中状态变量的维度,本文在后端部分采用了滑动窗口方法,通过边缘化策略移除因子图中的过时特征,保证位姿估计的实时性。

图2   基于点线特征的VIO算法整体流程

1特征追踪

本文采用的VIO算法在前端部分分别对图像中的点特征和线特征进行追踪,其中点特征追踪方法的研究较为成熟,本文参考了VINS算法[13]的设计,首先采用Shi-Tomasi角点检测算法[38]提取图像中的特征点,然后通过Lucas-Kanade光流法[39]对提取的特征点进行追踪。

下面对线特征的提取和追踪方法进行详细说明。本文首先采用LSD算法对图像中的直线线段进行提取,接着为了避免无人机飞行过程中导致的图像运动模糊对直线提取效果的影响,提出了一种直线融合方法,具体过程如下。

(1)计算LSD算法提取直线的角度,如果两条直线的夹角和端点之间的距离小于阈值,则将这两条直线标记为待融合直线。

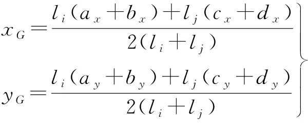
(2)计算待融合直线的质心,利用式(1),通过4个端点计算直线的质心(xG,yG)

(1)

式中,(a,b)和(c,d)分别为待融合直线的两组端点;li和lj分别为对应直线的长度。

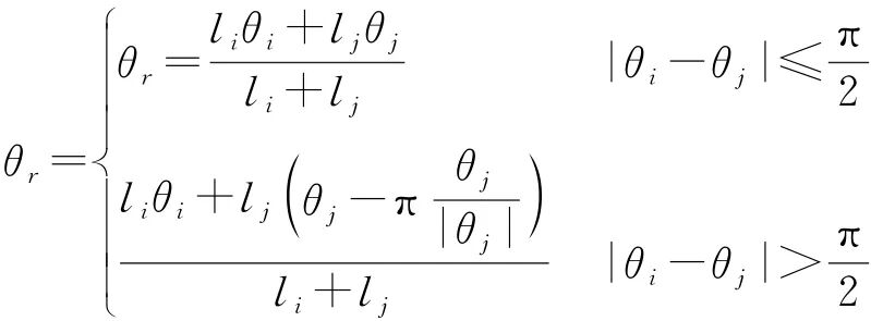
(3)计算融合直线的方向θr,由待融合直线方向θi和θj的加权平均获得,计算公式为

(2)


(4)以质心(xG,yG)为原点,与θr方向平行和垂直的方向分别为X轴和Y轴,构建坐标系,将a、b、c、d 4个端点投影到X轴上,选取投影后距离最远的两个点作为融合后直线的端点。

经过本文算法处理后的直线特征提取结果如图3所示,可以看出融合后的直线特征更加完整统一,为后续的线特征匹配提供了良好的基础。

图3   基于LSD算法的直线特征提取结果融合前后对比

在线特征匹配过程中,本文首先通过IMU积分提供的重力方向在图像中检测Z方向的灭点;然后根据灭线检测X方向及Y方向的灭点;接着根据获得的灭点对图像中相应方向的直线进行提取,并将这些直线标记为结构化直线,剩余的直线标记为非结构化直线。其中,结构化直线规律性强,直线匹配的准确性更高,同时由于环境中结构化直线的方向与环境的结构相关,更加稳定,对于无人机位姿的约束性也更强,因此本文使用结构化直线的匹配结果进行线特征残差项的构建。并且与传统算法中采用LBD(line band descriptor)[40]等描述子的线匹配算法不同,为了减少计算量,保证无人机平台定位的实时性,本文采用了基于光流法的线匹配算法,对上一帧图像中的结构化直线进行均匀采样,通过光流法对采样点在下一帧影像中的位置进行追踪,如果两帧之间直线包含的同名点比例超过70%,则认为这两条结构化直线匹配成功,最终的匹配结果如图4所示。对于匹配成功的直线,笔者将其加入直线追踪队列中,并在后续图像帧中继续追踪;对于匹配失败的直线,则将其从直线追踪队列剔除。

2因子图优化

在VIO系统的后端部分,本文采用的优化模型包含先验残差、点特征残差、线特征残差及IMU残差4个部分,具体结构如图5所示。其中,ci及bi分别表示在t=i时刻的相机观测及IMU观测;fj及Lj分别表示世界坐标系内的点特征及线特征;表示在第i帧上观测得到的第j个点特征;表示在第i帧上观测得到的第j条线特征,构成了视觉观测值;表示两帧之间的IMU预积分观测值;qbc及pbc表示从相机系到IMU系的内参(本文试验中已事先完成标定)。


图5   基于点线特征的VIO系统优化模型


系统中待优化的变量X为

(3)


式中,xi表示第i个时刻IMU的位姿状态;分别表示IMU机体在世界坐标系内的位置、速度及方向,i∈[n,n+N]分别表示第i个时刻IMU测量值中的加速度和角速度零偏。X中的λj表示第j个路标点在首次观测到该路标点的相机坐标系下的逆深度,j∈[m,m+M]。ls表示在首次观测到结构线特征的相机系内第s条线特征的参数表达形式,s∈[k,k+K]。下标n、m、k分别表示在滑动窗口内IMU机体状态变量、特征点及特征线开始的编号;N表示滑动窗口内关键帧的数量;M和K分别表示在滑动窗口内被所有关键帧观测到的特征点以及特征线的数量。

最终,联合优化因子图对应的目标函数为

(4)

式中,rp、Jp分别是边缘化滑动窗口外变量之后计算得到的先验状态误差向量和先验雅克比矩阵;代表在xi及xi+1状态之间的IMU残差项,由IMU预积分获得;B表示在滑动窗口内的所有预积分量的集合;F及L表示被相机观测到的点特征和线特征的集合;ρ为Cauchy核函数。表示点特征残差项,由点特征重投影误差构建;表示线特征残差项,由线特征重投影获得,在本文中定义为端点到投影线的距离,具体形式为


(5)


式中,表示直线起点至同名直线的像素距离;表示直线终点至同名直线的像素距离。

无人机自主空间探测

自主定位是实现无人机全自主测量的前提,而无人机的自主空间探测是无人机全自主测量的核心保障。为了实现无人机对目标区域进行高效且高覆盖率的自主测量,在基于自主定位模块提供实时高精度位姿的基础上,还需要利用无人机自主空间探测算法根据实时的探测情况,为无人机提供实时的全局最优探测路径决策及局部最优运动轨迹重规划等功能。全局最优探测路径规划主要基于维护的占据栅格地图,通过构建探测边界求解全局最优的探测路径,进而实现全局覆盖的最优探索决策。局部最优运动轨迹规划则负责为无人机实时地规划一条安全、光滑且动力学可行的高质量局部运动轨迹,以实现无人机安全、稳定且快速的自主测量。

1全局最优探测路径规划

本文研究并采用的是一种基于边界的探测方法(图6),主要包括地图维护、边界构建与更新、全局最优探测路径求解3个模块。本文在地图维护模块中采用了三维占据栅格地图[41]。该地图结构简单、维护高效,能够基于传感器实时获取的场景数据并利用栅格的不同状态(free、occupied及unknown)对空间环境进行高效的映射表达,进而实现快速的碰撞检测及边界构建与更新。边界构建与更新实质上发现并维护已感知空间与未感知空间的交界区域,如图6中彩色栅格所示,为全局探测规划提供基础信息依据。该部分主要参考了FUEL算法[42],其可以主要分为以下步骤:①边界种子获取,即在传感器视场范围内的三维占据栅格地图中寻找满足边界条件(处于free空间中且与unknown空间相邻)的种子栅格;②根据边界种子栅格,利用区域生长算法寻找整个边界区域;③重复上述过程直至视场范围内的栅格均被扩展搜索;④边界划分与计算。由于传感器的视场往往是有限的,因此为了提供更加准确的探测指引,需要对较大的边界进行分割。随后,对每一个边界进行边界信息计算,包括边界的最小外包框、中心点及观测该边界的最佳视点等;⑤随着传感器的移动,不断地构建维护新边界并剔除不满足边界条件的旧边界。通过这样的方式,可以实时地获取全局尚未探测区域的位置信息及相应的观测视点信息。

图6   全局最优探测路径规划

全局最优探测路径求解是基于无人机实时的运动状态及各边界观测视点的分布情况获取一条全局最优的边界探测顺序,以实现对目标区域高效且高覆盖率的探测。区别于当前其他方法在仅考虑飞行层面因素的情况下,利用旅行商问题(traveling salesman problem,TSP)求解最优路径,本文采用了一种顾及多层次信息的全局最优探测路径求解方法。首先,为了减少全局探测过程中低效的往返探测行为,充分考虑了边界的空间分布特征,提高容易造成往返探测行为的边缘区域以及独立小区域的探测优先级,进而减少后续的折返探测。如图7所示,为了提高处于探测区域边缘部分边界的探测优先级,本文为维护的每一个边界Fk计算相应的边缘惩罚Cb(k)


(6)


(7)

式中,Ncls表示当前全局维护边界的数量;分别为边界Fk沿着X、Y、Z 3个轴向至探测区域边缘的最短距离;rs为传感器的最大探测距离;Dk表示边界Fk的视点Vk与无人机当前位置p0之间的距离。当Dk小于rs时,直接将边界至目标区域边缘的最短距离dmin(k)作为该边界的边缘惩罚,即对距离边缘越远的边界惩罚cb(k)越大。而为了避免盲目地追求边缘区域而影响整体的探测效率,当Dk大于等于rs时,边界惩罚cb(k)也会在惩罚系数wd的帮助下使其随着Dk的增大而增大。而为了提升独立小区域的探测优先级,本文对每个边界区域进行独立小区域概率cs(k)评估。如图7中红色探底射线(观测视点朝边界中心点发出的射线)所示,基于地图分辨率沿着射线方向不断地进行探测延伸,直至射线触碰到障碍物、Free空间、目标区域边缘或者超过射线最大探测距离hmax为止,并获取射线终点。之后,基于射线的探测结果可以估算该边界区域为独立小区域的概率cs(k)


(8)


图7   边界空间特征评估

其次,为了减少探测飞行的消耗并提升飞行过程的流畅度,本文在考虑边界层面因素的基础上,同时考虑了飞行层面的因素,即边界相应观测视点之间的欧氏距离、航向变化及速度变化等代价消耗


(9)


(10)


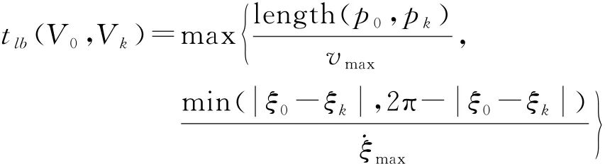
式中,V0表示无人机当前的运动状态,包含无人机的位置p0与航向ξ0;Vk表示边界Fk的观测视点,包含视点位置pk与观测航向ξk;v0为无人机当前的运动速度;vmax与ξmax分别表示无人机最大的运动速度与角速度。随后,通过将上述的边界层面与飞行层面代价消耗进行融合,构建TSP的代价矩阵Mtsp


(11)



(12)


(13)


式中,wc、wb及wf分别表示速度方向变化、边缘区域及独立小区域等代价项的惩罚系数。通过这样的方式,不仅顾及了无人机的飞行消耗,而且提高了边缘区域边界及独立小区域边界的探测优先级,因此能够求解出一条探测过程流畅且往返探测行为更少的全局最优探测路径。

2局部探测轨迹搜索与优化

基于全局最优探测路径规划部分求解的边界探测顺序可以确定局部最佳的探测视点VB(pB,ξB)。而为了能够驱动无人机对局部探测目标进行安全、稳定、快速的自主感知探测,还需要基于无人机的动力学限制实时地规划生成一条从当前位置p0到达局部最佳探测视点VB的安全、光滑且动力学可行的运动轨迹。文献[43]提出了一种不需要构建欧几里得符号距离场的路径规划方法,有效提升了规划效率,但其生成的轨迹质量较差。文献[44]提出了一种满足时空最优性的轨迹优化方法,可生成满足各种用户输入约束的高质量运动轨迹,但该方法规划耗时较长。文献[45]提出了一种两步法轨迹生成策略,实现了无人机的高速飞行,但此方法需要提前构建表示安全区域的一系列无碰撞球体,且容易受到传感器噪声的干扰。因此,为了兼顾轨迹安全性与规划效率,该部分采用了融合轨迹搜索与轨迹优化两部分的探测方法[46]。该方法主要过程图8所示,其中轨迹搜索主要负责快速寻找一条安全且可通行的初始轨迹;轨迹优化则主要负责对初始轨迹的安全性、光滑性及动力学可行性等方面进行全面优化提升,进而获取一条最优的运动轨迹。


图8   运动轨迹搜索与优化

初始轨迹搜索部分至关重要,其搜索质量的高低不仅能直接影响轨迹优化部分效率及优化成功率的高低,而且直接决定了无人机的飞行方向。因此,为了能够高效地搜索一条高质量的初始轨迹,本文采用了有引导的动力学路径搜索方法(guided kinodynamic path searching,GKPS)。该方法先利用顾及当前运动状态的改进A*算法稳定高效地搜索一条安全可通行的引导路径,之后通过控制空间采样并利用启发式函数不断地在引导路径周围进行线束节点(图8中橙色线束)的扩展,进而快速稳定地搜索生成一条满足动力学约束的高质量初始轨迹。随后,利用B样条曲线对初始轨迹进行参数化表达,并借助B样条曲线的特性对轨迹的光滑性、安全性及动力学可行性进行整体优化


(14)


式中,fs与fc分别表示轨迹的光滑项与碰撞项的惩罚;fv与fa分别表示轨迹的速度与加速度等动力学可行性方面的惩罚;λ1、λ2及λ3分别表示以上各项的惩罚系数。各惩罚项具体的计算方法及轨迹优化方法可参考文献[46—47]。通过以上方式可以稳定高效地生成一条最优的局部探测运动轨迹,使得无人机能够安全快速地到达局部最佳目标位置。另外,由于无人机搭载的传感器往往视角有限,因此还需要航向层面的规划,进而能够将传感器从当前航向ξ0(图8中绿色视场)旋转到局部最佳探测视点VB的航向ξB(图8中红色视场),以实现传感器对目标区域的探测。本文采用了与以上轨迹规划相同的方法进行航向规划,即利用B样条曲线对航向变化轨迹进行表示,之后利用B样条的特性优化轨迹的光滑性及动力学可行性。最后,本文可以通过以上方式获取一条安全、光滑且动力学可行的最优局部探测运动轨迹,实现对目标区域的快速探测感知。

试验与分析

在试验中,本文总体采用了对自主定位算法和自主探测算法进行分步对比以及真机总体真实场景试验的思路来验证所设计的无人机自主测量技术与框架的有效与可靠性。3个方面的试验与分析阐述如下。

1无人机自主定位算法试验

为了验证本文提出的技术框架中自主定位算法的性能,笔者采用EuRoc MAV开源数据集[48]进行了算法的对比试验。该数据集由无人机平台分别在大尺度的工厂场景及小尺度的房间场景中采集,数据集中包含20 Hz的双目影像数据及200 Hz的IMU测量数据。由于本文提出的VIO系统针对单目平台开发,因此只使用其中左相机的影像进行试验。

试验过程中选择的对比算法为OKVIS-Mono[49]、VINS-Mono、PL-VIO[50]、PL-SLAM,并且为了保证对比试验的公平性,VINS-Mono算法中的闭环检测功能在试验中保持关闭。试验中的精度评价指标则采用绝对轨迹误差(absolute pose error,APE),其中包含了算法输出轨迹与轨迹真值的平移及旋转部分的误差。

各个算法的对比结果见表1和表2,可以看出,综合各场景下的平移和旋转误差,本文算法取得了最优的定位精度。在平移误差上,本文算法在9个场景中的6个场景排名第一,在MH_03_medium、MH_04_difficult和V1_02_medium场景以微弱的劣势排名第二。而在旋转部分的误差上,本文算法在除了V1_03_difficult及V2_01_easy数据序列之外的其他序列上均取得了最优的定位精度,在V1_03_difficult数据序列上,VINS算法的旋转精度要高于本文算法,在V2_01_easy数据序列上,PL-VIO算法的旋转精度要高于本文算法。这是由于MH系列的数据集为大尺度工厂场景,提取的结构线特征比较多,因此能够对VIO系统起到更好的约束作用,而在V系列的数据集中,提取的结构线特征相对较少,相较于MH系列,线特征能够提供的约束性较弱。综合上述定位精度的对比结果,可以证明本文提出的基于点线特征的VIO系统能够有效地减少平移累计误差及旋转累计误差,实现高精度的无人机自主定位。

为了进一步分析本文算法与同样使用了点线特征的PL-VIO算法的定位精度差异,下面选择MH_05_difficult数据序列进行轨迹详细对比,结果如图9所示,与直接使用点线特征进行组合的PL-VIO算法相比,本文算法的定位精度要明显更优,这说明,使用本文中采用的基于IMU信息辅助提取的结构化直线进行无人机轨迹位姿约束方法的有效性。


图9   MH_05_difficult数据序列平移精度对比结果

2无人机自主探测算法试验

为了验证自主空间探测算法的效能,本文分别在3种不同的仿真场景中将技术框架算法与当前著名的FUEL算法[42]进行了详细的试验对比。在每个场景中,每种算法在相同起始状态的情况下进行10次探测试验。试验过程中无人机动力学的最大速度和最大角速度限制分别为2.0 m/s和1.0 rad/s,传感器视场角为[80°,60°],最大探测距离为4.5 m。另外,本文采用了FUEL的开源代码及其默认配置进行对比试验,试验计算平台配置为Intel Core i9-9900K@3.6 GHz处理器、64 GB内存,操作系统为Ubuntu 18.04,软件运行环境为ROS Melodic。试验结果如图10和表3所示。


图10   不同场景下的探测效能对比


如图10所示,3个试验场景分别为办公室场景(office,30×20×2 m3)、障碍物密集的方柱场景(pillar,28×14×2 m3)及更贴近现实的桥梁场景(bridge,18×10×5 m3)。通过实际探测轨迹可以看出,由于技术框架设计并采用的自主探测方法采用了顾及多层次信息的算法模型进行全局最优探测路径的生成,可以通过及时探测容易造成往返探测行为的区域,大幅减少低效的往返探测,因此本文算法探测轨迹更加合理。

表3的试验结果同样验证了以上分析,本文算法在保持相同探测覆盖水平的前提下,探测耗时及探测飞行距离明显减少。与此同时,相同场景内试验数据的具体分布显示,本文算法探测效能的浮动范围更小,稳定性更好。另外,通过探测覆盖面积随时间变化的曲线也可以看出,本文算法的探测效能更加趋于线性。在探测过程中,虽然本文算法由于优先探测容易造成后续往返探测行为的特殊区域,一定程度上牺牲了局部探测效率,可能导致探测过程中个别时间段效率低于FUEL,如图10(e)所示,但是从全局探测效率层面来看,本文算法具有明显优势。

3真实场景应用试验

为了验证所设计的无人机自主测量技术与框架的可行性和有效性,本文将所提出的自主定位算法及自主空间探测算法与搭建的四旋翼无人机平台进行了融合。在不借助GNSS定位的情况下,利用前述设计的无人机自主定位模块及决策和规划模块在室外未知环境中进行了空间探测感知试验。试验中所自主搭建的四旋翼无人机平台如图11所示,该无人机轴距为330 mm,搭载了一台RealSense D435深度传感器进行视觉定位及障碍物数据获取,其视场角和最大探测距离分别为[78°,57°]和4.5 m。虽然RealSense也能获取影像数据,但分辨率较低,且无人机高速运动时影像容易出现动态模糊,导致数据质量进一步下降。为此额外加装了一台GoPro运动相机进行场景高清影像获取,其影像分辨率可达2700百万像素,支持运动状态下高质量的影像数据获取。同时通过一台Intel NUC机载计算机进行无人机实时在线计算,该NUC配备Intel Core i5-1135G7@2.40 GHz CPU和16 GB运行内存。最后,采用CUAV V5+飞行控制模块提供稳定的控制。利用搭建的四旋翼无人机平台在未知环境中自主测量时,框架中在线自主定位模块负责处理Intel Realsense D435提供的影像数据以实时地估计无人机自身位姿并构建点云地图,自主决策与规划模块则实时地求解全局最优探测路径且高效地搜索并优化一条局部探测轨迹,然后该轨迹将反馈至飞行控制器,最后将其解算为驱动无人机所需的推力和力矩,从而实现未知环境下的高效自主测量作业。试验过程中无人机的最大速度和最大加速度分别设置为1.0 m/s和1.0 m/s2,最大角速度为1.0 rad/s。


图11   自主无人机硬件平台

本次试验设置的探测区域范围为22×14×2.5 m3。整个探测过程耗时60.1 s,探测飞行距离为57.3 m。探测过程中不同阶段无人机及全局探测情况如图12所示。从实际情况可以看出,无人机的飞行姿态平稳,飞行轨迹光滑,能够实时地基于传感器数据进行边界(图12(d)、(e)、(f)中的彩色栅格所示)的构建与更新,并基于该边界进行全局探测感知的实时决策与规划,最终完成目标区域高覆盖率的探测感知任务,该试验过程证明了本文定位及自主空间探测算法的有效性。另外,本文在无人机探测过程中利用GoPro相机进行了高清影像数据采集,影像位姿轨迹如图12(g)所示。由图12可知,本文提出的无人机自主测量技术与框架能够有效地进行场景高覆盖率的自主感知测量,并根据场景局部的复杂程度自适应地进行不同密集程度的影像数据采集(如图12(g)中所示,红色虚线框所对应的区域的影像采集密度要明显高于绿色虚线框所对应的低障碍区域)。进一步地,为了验证该区域的感知数据重建效果,采用Colmap软件[51]对自主采集的影像进行了目标场景的三维重建试验,试验结果如图12(h)、(i)所示。通过试验结果可以看出,通过自主感知测量的目标区域重建结果完整度高,树干的几何形状获取较完整,有效验证了本文所设计的无人机自主测量框架在支撑局部复杂场景智能感知测量的有效性与可行性。

图12   室外未知场景自主感知测量过程及重建结果

结论

自主测量是传统测量技术向智能化感知测量升级转型的重要发展方向。为了验证这一技术的有效性与可行性,在开展自主定位及自主决策与规划算法优化研究的基础上,本文设计并提出了一种面向未知场景的自主无人机智能感知测量技术与总体框架,通过将点线特征融合的在线定位以及与顾及多层次信息的全局探测路径规划方法相结合,实现了无人机在局部未知环境下稳定、高效、高覆盖率的自主测量;并以自主无人机测量系统搭建为基础,通过分步对比以及总体真机真实试验验证了这一技术框架在支撑未知场景感知测量的有效性与可行性。但受限于无人机本身载重与续航影响以及感知传感器测量指标的限制,本文仅在局部林下未知环境验证开展了技术框架的验证,进一步的研究将主要在于集成多类型激光与视觉传感器的型谱化无人机自主测量装备的研制,以提升该技术框架的环境适应能力。同时研究将在线目标感知模块与自主定位空间探索模块结合方法,实现目标知识引导的在线感知测量,推进无人机自主测量到智能在线感知的进一步转型升级。

主管部门:
自然资源部
民政部
中国科协
京ICP备14037318号-1 京公网安备 11010802031220号
主办:中国测绘学会    技术支持 :江苏润溪时空智能科技股份有限公司
联系电话:010-63881345      邮箱地址:zgchxh1401@163.com
联系地址:北京市海淀区莲花池西路28号西裙楼四层