针对双相机工业摄影测量系统不同应用场景下实测精度与标称精度不匹配的问题,对系统网形结构进行了深入研究。通过研究发现:当物方测量点交会角大于45°,测量点与基线水平夹角介于28°~68°,竖直视角不超过23°,且测量点位于双相机工业摄影测量系统纵深方向[0.4B,1.3B]范围内时,测量点的精度较高,超过该范围,测量点的误差将变大。本文基于以上结论提出一种采用双相机工业摄影测量系统对测量场内规定位置标准尺长度测量,通过比较标准尺测量值与标称值差异,快速评定系统测量场精度的方法。试验表明,该方法能够快速准确地评定双相机工业摄影测量系统测量场精度,对于保证系统现场作业质量,提高现场作业效率具有重要指导作用。
目前,我国装备制造业正加速从传统制造向高端制造转型,新兴技术成为我国制造业数字化、智能化升级的关键支撑[1-4]。基于经典摄影测量理论和现代工业测量需求发展而来的数字近景工业摄影测量技术凭借高精度、超便携、非接触、环境适应能力强的特点,在航空、航天、核电等领域得到广泛应用,成为高端装备制造业重要的测量手段[5-16],受到国内外众多专家学者的关注。文献[17-25]从相机内部参数标定、相机热效应、测量网形优化设计、系统解算策略等多个层面对工业摄影测量技术进行了深入研究,以期提高系统的测量精度,满足日益精密的装备制造需求。
双相机工业摄影测量系统(以下简称“双相机系统”)是数字近景工业摄影测量技术的典型产品,该系统通过两台位于不同位置的相机对粘贴在被测物体上的合作目标进行同步摄影,经像点识别、同名像点匹配及空间前方交会等操作,能够实时获取合作目标的空间三维坐标[26-29],进而达到对动态物体位姿跟踪测量的目的。系统可以根据被测物体状态灵活设站,满足多种场景下的测量需求,在飞机疲劳试验、空间天线实时装调及飞行器姿态调整等领域发挥了重要作用[30-35]。
实践中,受到相机布设形式、摄影距离等因素影响,不同应用场景下双相机系统测量精度有所不同,实测数据精度低于系统标称精度的情况时有发生,影响设备的有效使用。遗憾的是,目前国内外还没有针对双相机系统的校准规范,厂家交付产品时一般只能提供企业内部或国家计量机构出具的精度测试报告,其精度一直以来都是业内关注的焦点。文献[36]从系统相机标定、特征提取等方面进行研究,提出了测试系统精度的方法,对双相机系统的应用具有较好的借鉴意义。文献[37-38]基于试验探索,从摄影距离、交会角、相机温度等方面对双相机系统进行了研究,取得了一些实用性较强的研究成果,但其成果未与双相机系统的测量原理进行耦合,推广价值有限。文献[39-40]构建了基于双相机的空间前方交会模型,对双相机网形结构参数进行误差分析与试验验证,对双相机误差理论的完善和应用具有积极意义,但未形成实用的现场测量方法。如何在作业现场快速、准确评定双相机系统测量场精度,保证系统在精度可靠的前提下开展工作已成为现阶段亟须解决的问题。
本文从双相机系统的数学模型出发,研究竖直视角、水平视角及摄影基线等网形结构参数对测点误差的影响规律。根据各结构参数的最佳范围提出一种采用摄影测量标准尺现场评价双相机系统测量场精度的方法。在2.5 m和3.6 m两种典型基线条件下采用一根摄影测量标准尺对双相机系统测量场精度进行评定,并采用评定合格的测量场对另一根标准尺长度进行测量,验证本文方法的有效性。
1 双相机系统测量场误差分析
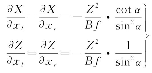
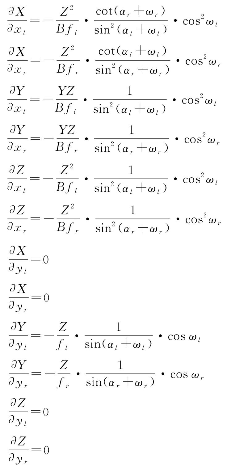
双相机系统测量空间点如图1所示,设左相机像空间坐标系Sl-xlylzl,像平面坐标系为ol-xlyl,主距为fl;右相机像空间坐标系Sr-xryrzr,像平面坐标系为or-xryr,主距为fr。为方便讨论,物方坐标系Sl-XYZ采用左手坐标系,其他坐标系均采用右手坐标系。设物方点P在Sl-XYZ中的坐标为(X,Y,Z),左像片中对应的像点pl在其像空间坐标系中的坐标为(xl,yl,fl),P在右像片中对应的像点pr在其像空间坐标系中的坐标为(xr,yr,fr)。OlSl和OrSr是左右两台相机的光轴方向,βl和βr分别为竖直方向视场夹角,ωl和ωr分别为水平方向视场夹角,αl和αr分别为相机光轴与基线的夹角,B为两台相机基线之间的长度[39]。
图1 双相机系统测量空间点
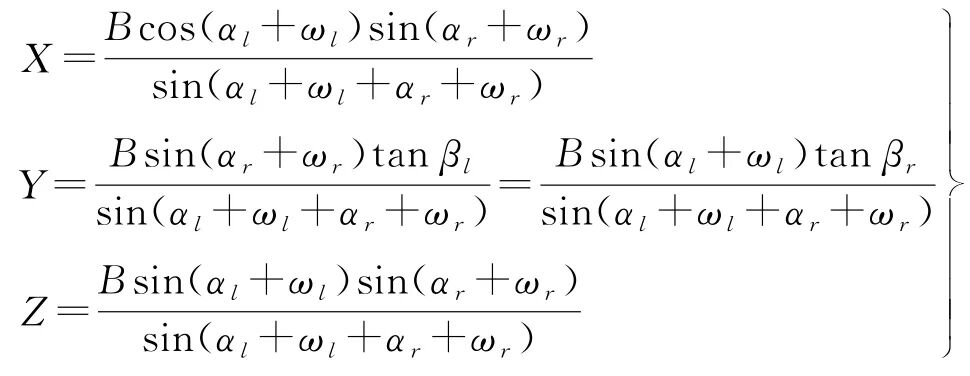
根据上述模型可以得出[39]
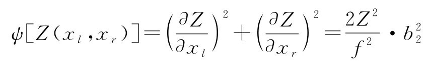
式中,;
;
;
。
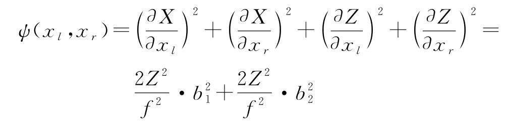
由式(1)可知,物方点坐标的精度受到视场角、相机光轴与基线夹角、基线长度等多种因素影响。物方点坐标的函数模型可记为
(2)
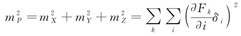
根据Helmert点位误差估算公式[41-42],对测量场内每个测量点P的中误差mP可表示为
(3)
式中,i为各结构变量;k代表物方点的X、Y、Z坐标;δi表示各结构变量的中误差。
1.1 竖直视角对点位误差的影响
竖直视角误差传播函数为
(4)
图2为竖直视角βl对点位精度的影响函数曲线,竖直视角βl在0~0.2 rad时,即βl∈[0°,11.5°]时,测量点误差较小;竖直视角βl在0.2~0.4 rad时,即βl∈[11.5°,23.0°]时,测量点误差缓慢增高;当竖直视角βl超过0.4 rad时,即βl≥23.0°时,测量点误差逐渐变大。整体来看,当βl∈[0°,23°]时,测量点误差较小,可靠性较高。
图2 竖直视角βl对点位精度的影响函数曲线
以目前主流的工业摄影测量相机为例,成像芯片尺寸36 mm×24 mm,焦距24 mm,由摄影中心、像主点和成像芯片上部(或下部)边缘任意一点构成的空间三角形最大竖直角约为26.5°,如图3所示。结合本节上述分析,在实际应用中,为提高测量结果的精度,可尽量使测量点分布在竖直视角±23°以内。
图3 相机竖直视角计算
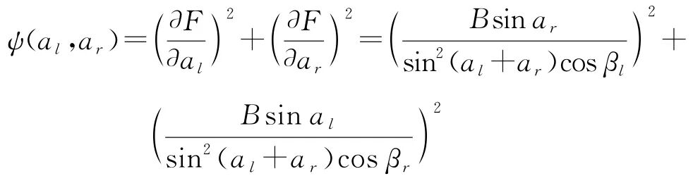
1.2 测量点与基线水平夹角对点位误差的影响
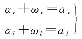
通过数学模型发现,αr+ωr和αl+ωl表示测量点与基线的水平夹角,令
(5)
测量点与基线水平夹角的误差传播函数为
由于双相机系统竖直视角范围较小,当βl=βr,且分别为0°、10°、20°、30°时,对测量点与基线水平夹角对点位误差的影响进行研究。
采用软件仿真发现,在βl=βr条件下,al和ar在0.5~1.2 rad时,即al、ar∈[28°,68°]时,测量点误差较小;当αl和αr超过上述范围时,测量点误差将快速上升(图4)。
图4 测量点与基线水平夹角al和ar对点位精度的联合影响仿真
1.3 基线对点位误差的影响
本模型中,基线对点位测量精度的影响通过对左右像点求偏导进行分析[40]
(7)
为分析简便,令αl=αr=α,ωl=ωr=0,βl=βr=0,fl=fr=f,此时Y=0
(8)
设基线与纵深的比为(以下简称“基纵比”),结合图1则
(9)
令
(10)
将式(9)代入式(10),并按照泰勒级数展开,取二次项则
(11)
像点对X、Z坐标的误差传播函数式为
(12)
(13)
基纵比对点位精度趋势如图5所示,当基纵比λ∈[0.8,2.5]时,测量点误差较小,当λ=1.4时,测量点误差最小。也就是说,采用双相机系统进行测量时,应当将被测物体放置在[0.4B,1.3B]的纵深范围内,当超过该范围后,测量点位的误差将快速增加。
图5 基纵比对点位精度趋势
2 基于标准尺的测量场精度评定方法
根据双相机系统测量原理,被测物体上同一物点只有同时被两台相机拍摄到,系统才能测量出其空间三维坐标。因此,现场作业过程中,首先要根据被测物体的尺寸和状态布设双相机系统,保证各测量点能够被两台相机同时拍到;其次,对系统进行定向,解算两台相机在现场条件下相对的位置和姿态。定向完成后即可对被测物体进行测量,常规作业流程如图6(a)所示。
图6 双相机系统作业流程
通过第1节理论分析,由图2—图5可知,双相机测量场范围内,βl、βr∈[-23°,23°],al、ar∈[28°,68°],Z∈[0.4B,1.3B]时,测量结果的可靠性较高。为保证系统现场作业质量和作业效率,本文提出一种现场条件下采用高精度摄影测量标准尺快速评定系统测量场精度的方法。对于特殊测量场景,如仅对测量场范围内2个点进行测量,也可在本文方法的基础上对测量场某一部分进行测量评价,提高作业效率。为表述方便,以下简称“第1种方法”,该双相机系统含测量场精度评定的作业流程如图6(b)所示。
具体方案为采用定向完成的双相机系统对测量场内19个位置的摄影测量标准尺进行测量,要求摄影测量标准尺精度比双相机系统的标称精度高3倍以上,如图7所示。标准尺位置分布在两个测量平面上,第1测量平面位于测量场纵深方向距双相机基线0.4B~0.6B位置处,该平面内竖向放置标准尺,从左至右共3列,每列分别在上、中、下3个位置进行测量,共摆放9个位置;第2测量平面与第一测量平面平行,距基线1.1B~1.2B,该平面内标准尺横向放置6个位置,斜向45°放置4个位置,共放置10个位置(也可根据视场大小增加横向标准尺摆放的位置)。测量过程中要求标准尺摆放的位置尽可能覆盖整个测量场边界,且标准尺靶标点与双相机交会角不小于45°,竖直视角不超过23°,相机光轴与基线的夹角介于28°~68°。测量完成后,比较标准尺标称值与实测值之间的差异,结合双相机系统的精度指标,对测量场精度进行评定。该方法确定的测量场范围如图8所示。
图7 第1种方法标准尺布设位置
图8 第1种方法确定的测量场范围
为充分研究第1种方法的合理性,提出1种对照方法,该方法使用摄影测量标准尺在距离双相机基线1.1B~1.2B的1个平面内按照图9所示的方式进行测量,测量过程中尽量将标准尺放置到测量场边界,不过度顾及交会三角形结构,以下简称“第2种方法”。
图9 第2种方法标准尺布设位置
3 试验验证
选用郑州辰维科技股份有限公司MPS/M20双相机工业摄影测量系统对上述两种方法进行了试验(S/N:708749/410118),系统参数见表1[39]。
选用两根长度不确定度均优于10 μm(2σ)的摄影测量专用标准尺(S/N:301 202 008/301 202 010)进行对照,摄影测量标准尺及其基准长度分布如图10所示,每根标准尺长度见表2。由于实际应用中双相机系统的基线范围通常介于2.5~3.6 m,因此在该基线范围内进行了测量场精度评定试验。因篇幅有限,仅以基线距离为2.5、3.6 m两种典型工况的测量场精度评定进行介绍。
图10 摄影测量标准尺及其基准长度分布
表2 标准尺长度
3.1 2.5 m基线试验
基线长度2.5 m条件下,采用本文提出的两种方法进行了试验。系统定向参数见表3,标准尺放置如图11所示,两种方法测得的标准尺长度偏差及各测量位置靶标点交会角如图12和图13所示。


根据双相机系统参数,CCD像元尺寸为7.4 μm×7.4 μm。假设系统像点中心定位精度为0.04像素,则系统角度测量精度约为2.54″,水平夹角和竖直视角的精度约为2.25″[42]。根据系统定向参数及误差传播律,综合式(4)—式(7),在不考虑各影响因素之间协方差的前提下,对测量场内各靶标点的空间定位精度进行了估算,取各标准尺摆放位置8个靶标点精度估计值的平均值作为统计指标进行对比分析,各测量位置靶标点精度估计值如图14所示。
图14 2.5 m基线条件下各测量位置靶标点精度估计值
试验发现,第1种方法测得的标准尺长度误差较第2种方法小约60%,测量结果间的波动性较第2种方法小约75%(表4)。第1种方法点位精度估计值较第2种方法小约23%。由于未考虑各结构变量间的协方差,精度估计值与实际测量精度值之间存在一定的偏差,但整体趋势基本吻合。对比图13和图14发现,第1种方法位于最佳测量场范围内,测量点交会角较大,点位精度较高;第2种方法的测量范围超出了最佳测量场范围,测量点交会角变小,测量误差增大,而越靠近测量场边缘,测量点交会角越小,测量误差越大,该规律与工程实际相符。

MPS/M20系统标称精度为0.040 mm(<4 m, 1σ),若按照2σ计算,则该设备在4 m测量范围内的精度为0.080 mm。根据第1种方法的试验结果,设备的测量精度可以满足要求;而根据第2种方法的试验结果,有约30%的长度偏差值超过了0.080 mm,设备的测量精度不满足精度要求。
为验证第1种方法的可靠性,采用编号为301202008的标准尺在第1种方法确定的测量场范围内均匀放置了12个位置,对标准尺长度进行了测量,试验结果如图15所示。
图15 301202008标准尺长度测量结果
通过复测发现,标准尺长度偏差的绝对值平均为0.031 mm,标准偏差为0.029 mm,标准尺长度偏差值未超过0.080 mm,第1种方法能够准确反映测量场的精度,其评定结果可靠。
3.2 3.6 m基线试验
在基线长度为3.6 m的设站条件下,采用第1种方法进行了试验,系统定向参数见表5。由于基线拉长,测量场范围变大,因此在第2测量平面中间增加了3个横向放置标准尺的位置,共对22个位置的标准尺长度进行了测量。标准尺长度偏差及各测量位置靶标点交会角如图16和图17所示,各测量位置靶标点精度估计如图18所示。

图17 3.6 m基线条件下各测量位置靶标点交会角
图18 3.6 m基线条件下各测量位置靶标点精度估计
通过试验发现,标准尺长度偏差的绝对值平均为0.020 mm,标准偏差为0.024 mm。该设站条件下实际测量范围大于5 m(按照体对角线计算),按照厂家标称的测量精度应不超过0.096 mm(2σ),试验数据显示标准尺长度偏差值均未超过0.096 mm。靶标点精度估计平均值为0.069 mm。由图17和图18可知,交会角大的靶点精度较高,交会角小的靶点精度较低,该规律与工程实际相符。采用本方法测定的双相机系统测量场精度与厂家标称精度相符。
为验证第1种方法的可靠性,采用编号为301202008的标准尺在测量场内均匀放置了16个位置,并对标准尺长度进行了测量,试验结果如图19所示。
图19 301202008标准尺长度测量结果
通过试验发现,标准尺长度偏差的绝对值平均为0.039 mm,标准偏差为0.028 mm,标准尺长度偏差值均未超过0.096 mm,采用第1种方法测定的测量场精度合理有效。
4 总结
实际应用中,除相机自身固有属性外,双相机系统还受到视场范围、交会角、基线长度等结构因素影响。为保证系统现场测量精度,应根据各结构元素的特性合理规划测量场。以高精度工业摄影测量标准尺作为标准器,采用双相机系统对规定位置摄影测量标准尺长度进行测量,通过比较测量值与标称值之间的偏差,可对系统测量场精度进行有效评定,有效弥补了现场作业条件下因缺乏标准器而无法准确把握系统测量场精度的短板。试验表明:①当物方测量点交会角大于45°,竖直视角小于23°,与基线水平夹角介于28°~68°,且测量点位于系统纵深方向[0.4B,1.3B]范围内时,测量点的误差较小,精度较高,超过该范围,测量点的误差将变大;②采用本文方法能够在现场快速、准确地评定双相机测量场的精度,可有效保证观测数据的质量,提升作业效率。
此外,对使用频率较低或长时间放置的双相机系统再次使用前,若不具备实验室校准条件,也可采用本文方法对系统精度进行评估,保证系统在精度可靠的前提下开展工作。
京公网安备 11010802031220号